0. army
One key conclusion :

However, for me, I will stop at this conclusion and enumrate all possible plans, making a algorithm with a complexity of O(n2^n) .
But, if we continue :

From this, we can get more conclusions :
- After sorting this array, we must select a continuous region.
- The length of this region must be L.
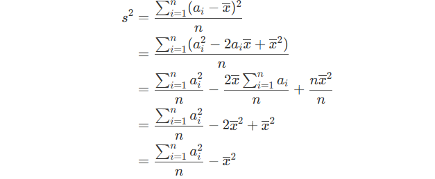
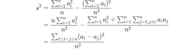
Since $ \sum_{i=1}^n ai^2 and \sum{i=1}^n a_i can be preprocessed with a complexity of O(n) $, we can easily pass this problem.
AC Code :
#include <bits/stdc++.h>
using namespace std;
/* NOT MY CODE. */
int main() {
freopen("army.in", "r", stdin);
freopen("army.out", "w", stdout);
int N, L, R;cin >> N >> L >> R;
double A[N], sqsum_pfx[N+1], sum_pfx[N+1];
sqsum_pfx[0] = sum_pfx[0] = 0;
for (int i=0;i<N;i++) {
cin >> A[i];
}
sort(A, A+N);
for (int i=0;i<N;i++) {
sqsum_pfx[i+1] = sqsum_pfx[i] + A[i]*A[i];
sum_pfx[i+1] = sum_pfx[i] + A[i];
}
double var=1.797e+308;
for (int i=0;i<=N-L;i++) {
var = min(var, (double)(sqsum_pfx[i+L]-sqsum_pfx[i])/L - (double)(sum_pfx[i+L]-sum_pfx[i])*(sum_pfx[i+L]-sum_pfx[i])/(L*L));
}
printf("%.3lf", var);
return 0;
}