早上比赛
拿了120,并且AC了一题,可以少看一篇题解了
T1 Robert 的军队

推式子题,昨晚学的数学有用了
先看提示

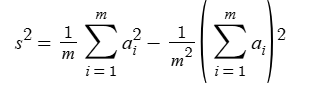
我们对方差公式变形,可以得到以下两个式子


m是我们选取的士兵个数,a是士兵的身高,其实拿到这题的时候就应该想到对a进行排序,我们不妨设对于i<j时,总有ai<=aj
对于第一个式子我们可以得出我们选择的a应该是连续的,并且稍作思考或多试几个样例就能发现,我们选取的士兵个数一定为L个
但是我们不能用第一个式子计算答案,因为这样做是O(n^2)的,无法AC,我们可以用第二个式子进行计算,我们可以在排序后用前缀和处理,最后用O(n)枚举长度为L的序列,查询答案是O(1)的
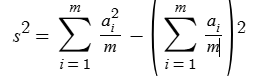
为了防止计算爆double,我们把系数放到求和内,就变成了下面这个式子

这样就可以愉快地计算了
Code:

细节:s2数组的处理要先乘再除再乘,不然可能会爆
T2 Ned的难题
这题其实就是在求这样一个式子

看到题目后,我苦思冥想了近1hour,最后只打了个暴力,拿了20
数论这块还是太权威了,看CSDN吧,出题人的题解据说要用笛卡尔树,过于高级,显然不是最简单的解法
一片比较好的题解: LINK
Code:

细节:模数位数不要数错了
一些疑问:考试时无聊试了一下,发现这个模数是个质数,那能不能用这个性质优化呢?虽然我觉得不大行,因为里边的数相较于模数来说太小了,很难用上模数是质数的性质,但还是很好奇能不能优化
今天博客太水了,才不到600字